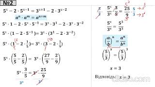
Розв’язування показникових рівнянь за допомогою властивостей степеня
Алгебра. Тема «Показникові рівняння» Урок 2: «Розв’язування показникових рівнянь за допомогою властивостей степеня» Попередні уроки з теми: Урок 1. «Елементарні показникові рівняння» - • Елементарні показникові рівняння
Смотрите также
