G
enby!

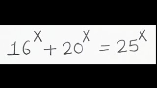
Соединенные Штаты | Сможете ли вы решить? | Найти (a,b,c) | Хорошая задача по алгебре | Математич...

#matholympiadproblem #matholympiadquestion #olympiadmathematicalquestion #sahajmathsstudyВступительные экзамены в Гарвардский университет •Международная математическая олимпиада •Вопросы математической олимпиады •Математическое образование •Решение математических задач •Продвинутые математические концепции •Сложные математические задачи •Алгебраические выражения •Упрощение квадратного корня •Упрощение алгебры •Упрощение радикалов •Математическая олимпиада США •Математическая олимпиада Германии •Математическая олимпиада Японии •Математическая олимпиада Пакистана •Математическая олимпиада Китая •Российская математическая олимпиада •Индийская математическая олимпиада •Австралия Математическая олимпиада •Вопросы юниорской олимпиады по математике в Таиланде •Как решать | Математическая олимпиада математическая олимпиада вопросы математической олимпиады предматематика математические задачи математика sybermath математическая олимпиада ускоритель математики задачи математической олимпиады математическая олимпиада в Германии математическая олимпиада #математическаяолимпиада #алгебра#математика#упрощение #степени#вируснаяматематическаязадача #какрешить#математика#вирусный #урокматематики#математика#математика#сможетерешитьэто?#олимпиада #математика#математическиехитрости#вопроспоматематическойолимпиаде#удовольствиематематике#алгебра#экспоненциальный#олимпиадаалгебра#экспоненциальноеуравнение#образование #уравнения #подготовкакматематическойолимпиаде ускоритель математики математические олимпиады 4 алгебра Сложные вопросы Факториал Корень Сильвия Ллоп Математика Алгебра, показательное уравнение Показательное уравнение Хорошая задача по алгебре Исчисление Тест по математике, производная, интеграл Хорошая математическая задача Сложная математика Математическая задача Математическая задача Математическая олимпиада Олимпиада по математике Как решить математическую задачу Мамта мам Хорошая олимпиада, показательная математика Математический вопрос по олимпиаде Подготовка к математической олимпиаде Олимпиада по математике Олимпиада Вычислить Алгебра Как решить Лига, логическая математика, олимпиада Сайбер, математика PreMath Математическая олимпиада RMO Вся математика Задача олимпиады по алгебре Национальная математическая олимпиада Learncomunolizer Индийская математическая олимпиада Математический болтун Доска по математике Супер Академия Ускоритель математики IMO решить Aa Bc Индийская олимпиада по математике Mathgist Виджай Математика Высшая математика bts lol учиться Онлайн-учитель математики Репетитор по математике Уроки математики Класс Рашеля Подготовка Алгебра 1 Алгебра 2 Алгебра Выражения в алгебре Математика для развлечения Уравнение математической головоломки Как изучать математику Олимпиада по математике SALogic SA Logic Олимпиада по математике Вопросы олимпиады по математике Задачи олимпиады по математике логика SA Математика Математика Алгебра Алгебра по олимпиаде Математика Помощь по математике Подготовка к математике Статистика Дроби Устный счёт Секрет математики Охотник за математикой Охотник за математикой Охотник за математикой Просто алгебра Окно математики Sybermath Мастер T по математике класс premath learncommunolizer основы математики bprp видеообмен камерофон видеофон бесплатная загрузка PreMath тригонометрия математика - это весело олимпиада вероятность и статистика алгебра 1 геометрия математическая олимпиада вопросы по математике олимпиады математика математические головоломки исчисление теория чисел алгебра 2 математика для старшей школы математика для колледжа помощь по математике premath imo онлайн-обучение олимпиада по математике premath математика m мысли нестандартно Лучшие каналы по математике iq it blackpenredpen SAT mindyourdecisions геометрические головоломки premaths premaths TabletClass Math Энди Математика алгебра pre-algebra колледж домашнее обучение домашнее обучение математика GED школьный тест помощь по геометрии ASVAB GMAT GRE SAT ACT Репетитор средней школы онлайн уроки Очень хорошая радикальная задача для математической олимпиады хорошая задача по алгебре олимпиада по базовой математике сложные задачи по алгебре как провести олимпиаду по математике вопросы олимпиады по математике Американская олимпиада по математике задачи олимпиады по алгебре олимпиада по математике трюки на олимпиаде по математике все олимпиады по математике олимпиец по математике функциональные экуасионы решение о функциональном обучении математические задачи усовершенствованная математика математические функции подготовка к повышению квалификации ecuaciones para concursos математика для Студенты Функциональные задачи Математика Как решить эту задачу Как решить Алгебра Задачи по алгебре Тригонометрия Экспонента Задача на экспоненту Найти x Найти все значения Упростить Упрощение Степень Простая математика Олимпиада Олимпиада по математике Алгебра Вопрос на способности Японская математическая олимпиада Математическая олимпиада Франция #ОнлайнУроки #ОнлайнОбучение #Учеба #МузыкаИзучения #УчисьСоМной #Вл...

Смотрите также