G
enby!

Курс по ИДУ: Функция Грина и задача Штурма-Лиувилля | Занятие 4

Четвёртое занятие кружка по интегральным и дифференциальным уравнениям от СНО НИЯУ МИФИ Тема: Функция Грина и задача Штурма-Лиувилля Семинарист: Комаров Никита Общий конспект: https://vk.cc/cbJrcM
Тест по знанию материала: https://forms.gle/UXtjEBLv3ZNWCV88A
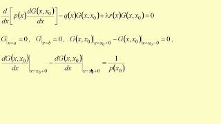
Ключевые моменты: 0:45 - Краевые задачи для дифференциальных уравнений 3:57 - Функция Грина для краевой задачи 40:20 - Задача Штурма-Лиувилля Мы во всемирной сети Интернет: Vk: https://vk.com/snomephi
Telegram: https://t.me/snomephi
Знаешь что-нибудь интереСНОе? Сообщи sno@mephi.ru

Смотрите также