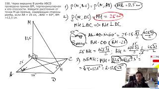
№204. Прямая ОМ перпендикулярна к плоскости правильного треугольника ABC и проходит через центр О
№204. Прямая ОМ перпендикулярна к плоскости правильного треугольника ABC и проходит через центр О этого треугольника, ОМ = а, ∠MCO = φ. Найдите: а) расстояние от точки М до каждой из вершин треугольника ABC и до прямых АВ, ВС и СA; б) длину окружности, описанной около треугольника ABC; в) площадь треугольника ABC. Мой второй канал для подготовки к ЕГЭ и ОГЭ - / ЕвгенийСумин TikTok - https://vm.tiktok.com/WJJwK9
Like - https://likee.com/user/@ge0metriya
Инстаграм - / ege_oge.math Личный инстаграм - / ee_sumin VK - https://vk.com/evgeniysumin
FB - / evgeniysumin
Смотрите также

