G
enby!

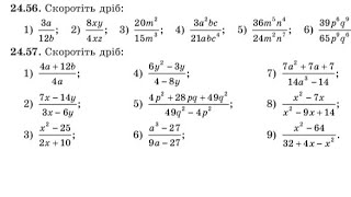
🤓Тренуємось! НМТ за 24.05.25, 1-16 завдання , повторюємо правила на цих прикладах

Смотрите также