Кинематические связи. Занятие 2
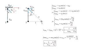
Второе занятие из цикла "Кинематические связи" раздела физики "Механика" Ссылка на первое занятие • Кинематические связи. Занятие 1
Второе занятие из цикла "Кинематические связи" раздела физики "Механика" Ссылка на первое занятие • Кинематические связи. Занятие 1