G
enby!

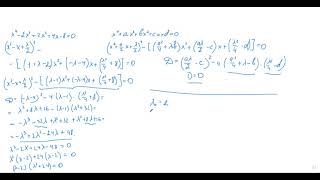
УРАВНЕНИЕ ЧЕТВЁРТОЙ СТЕПЕНИ. РАЦИОНАЛЬНЫХ КОРНЕЙ НЕТ. ГРУППИРОВКУ НЕ ВИЖУ

Ищу решение на основании формулы сокращенного умножения для 4-той степени разности двух чисел. Замаскированным оказалось биквадратное уравнение. Другим решением этого уравнения может быть первый шаг в методе Феррари - подстановка x = u - B/(4A) для приведения уравнения 4-той степени к каноническому виду, то есть избавление от x^3. Такая подстановка смещает график этого многочлена влево, и делает многочлен симметричным относительно оси X. Такой подход также привёл к биквадратному уравнению.

Смотрите также